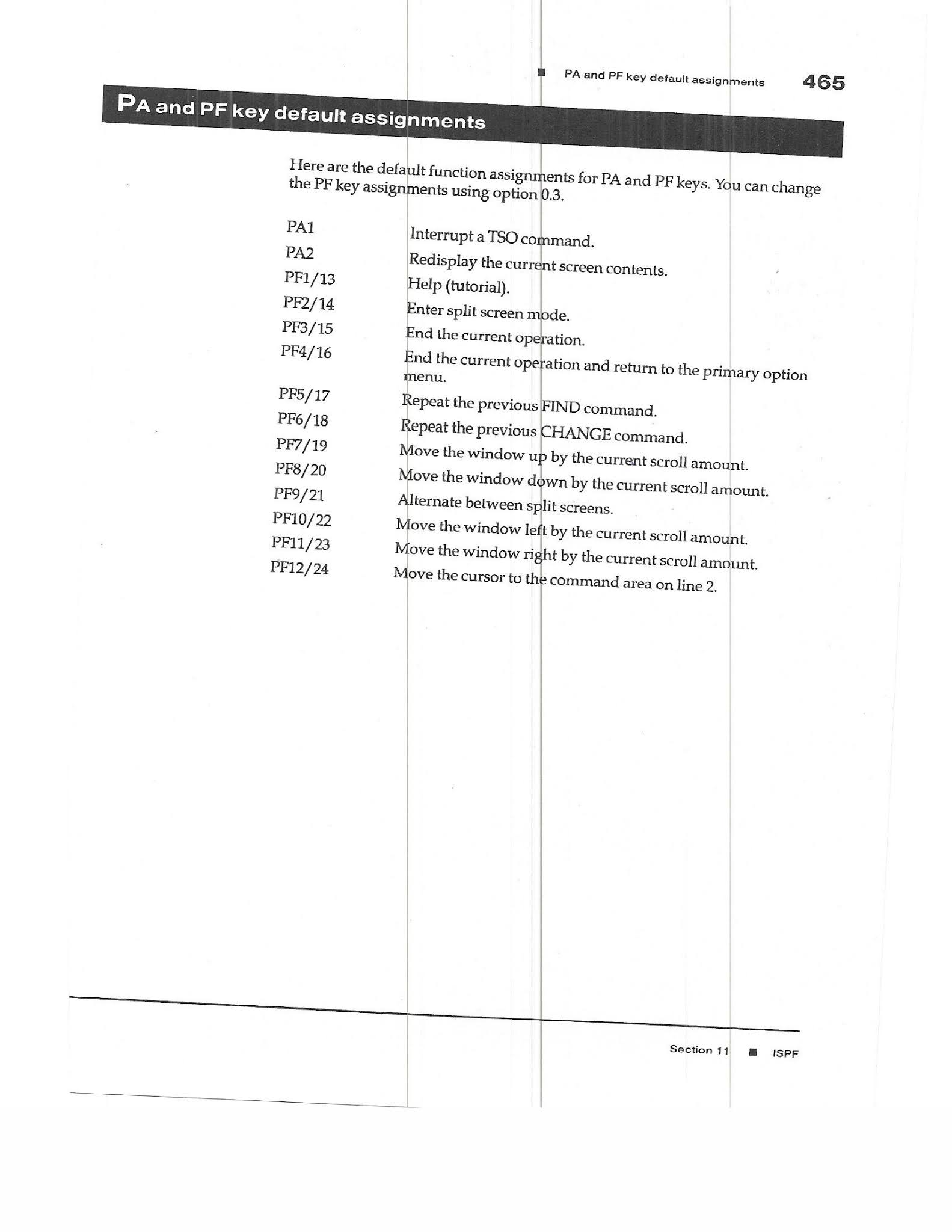
Book 1474 - CICS manual codes
Book 1474 - CICS manual codes
This book analysis by Herb Zinser uses Nature's SYMBOL MACHINE words, languages, proper nouns, equations, and concepts to understand the CRYPTIC writings of newspaper reporters, editors and publishers, and book authors.
The SYMBOL MACHINE is comprised of English language words and concepts, math and physics equations, biochemistry diagrams, electromagnetic sin wave schematics, etc. The SYMBOL MACHINE equivalent are basic college textbooks in math and science that may be found in any bookstore or a bookstore near a university.
We are reminded of ......
Language in thought and action - S. I. Hayakawa - Google ...
books.google.com › Language Arts & Disciplines › Linguistics › General
A revised, updated edition of S. I. Hayakawa's classic work on semantics. He discusses the role of language, its many functions, and how language shapes our ... .... Semantics is primarily concerned with meaning and reference, i.e. what Hayakawa calls the relationship between the «map» and the «territory» ...
Maps and Territories - Rijnlandmodel
Language in Thought and Action, S.I. Hayakawa.
Chapter 2 Symbols Maps and Territories
There is a sense in which we all live in two worlds.
Thus we have the source domain of SYMBOL LIFE and thought that may get mapped to the destination range of physical biology with human activities of the geography surface of EARTH.
Language in thought and action - S. I. Hayakawa - Google ...
books.google.com › Language Arts & Disciplines › Linguistics › General
A revised, updated edition of S. I. Hayakawa's classic work on semantics. He discusses the role of language, its many functions, and how language shapes our ... .... Semantics is primarily concerned with meaning and reference, i.e. what Hayakawa calls the relationship between the «map» and the «territory» ...
Maps and Territories - Rijnlandmodel
Language in Thought and Action, S.I. Hayakawa.
Chapter 2 Symbols Maps and Territories
There is a sense in which we all live in two worlds.
Thus we have the source domain of SYMBOL LIFE and thought that may get mapped to the destination range of physical biology with human activities of the geography surface of EARTH.



































































Comments
Post a Comment